Jan Wolko
Wiadomość czyli Opis Kościoła i cudownego obrazu
Najświętszej Maryj Panny na Pólku pod Bralinem
Ignacy Franciszek Puchała
Mnichowice w dzień Oczyszczenia Najświętszej Maryj Panny 1888
W rękopisie czytamy:
Roku 1852 zaprowadzono w parafii różaniec żywy św. Dominika i to na honor Najświętszej Maryj Panny na Pólku, którego pierwszym primatorem był św. pamięci Ksiądz Dziekan Jan Pietzka proboszcz w Bralinie ustanawiając na cel bractwa pewne nabożeństwa na Pólku i to: I dzień nowego roku, wtorek wielkanocny, wtorek zielonych świątek w oba te święta odprawiał się tu cały różaniec na Pólku, nabożeństwo w uroczystość św. Apostołów Piotra i Pawła stoi w związku z różańcem, [rękopis str.21] w oktawa Wniebowzięcia Najświętszej Maryj Panny odprawia się na Pólku bracka msza święta za zmarłych braci i sióstr różańca świętego, w pierwszą niedzielę października ustanowiono coroczna procesyja z Bralina i z Mnichowic na Pólko, gdzie się nabożeństwo i różaniec na honor Najświętszej Maryj Panny Różańcowej odprawia, wraz z różańcem św. Dominika zaprowadzono na Pólku także różaniec Jerozolimski odprawiający się w wielki tydzień…..
Dzisiaj
W 2010 roku wprowadzono w Sanktuarium odmawianie różańca św. w miesiącu różańcowym czyli w październiku. Poszczególne stany i grupy na czele z Kołami Żywego Różańca są zaproszone aby przewodniczyć tej modlitwie o godz. 14.30 w każdą niedzielę i uroczystość.
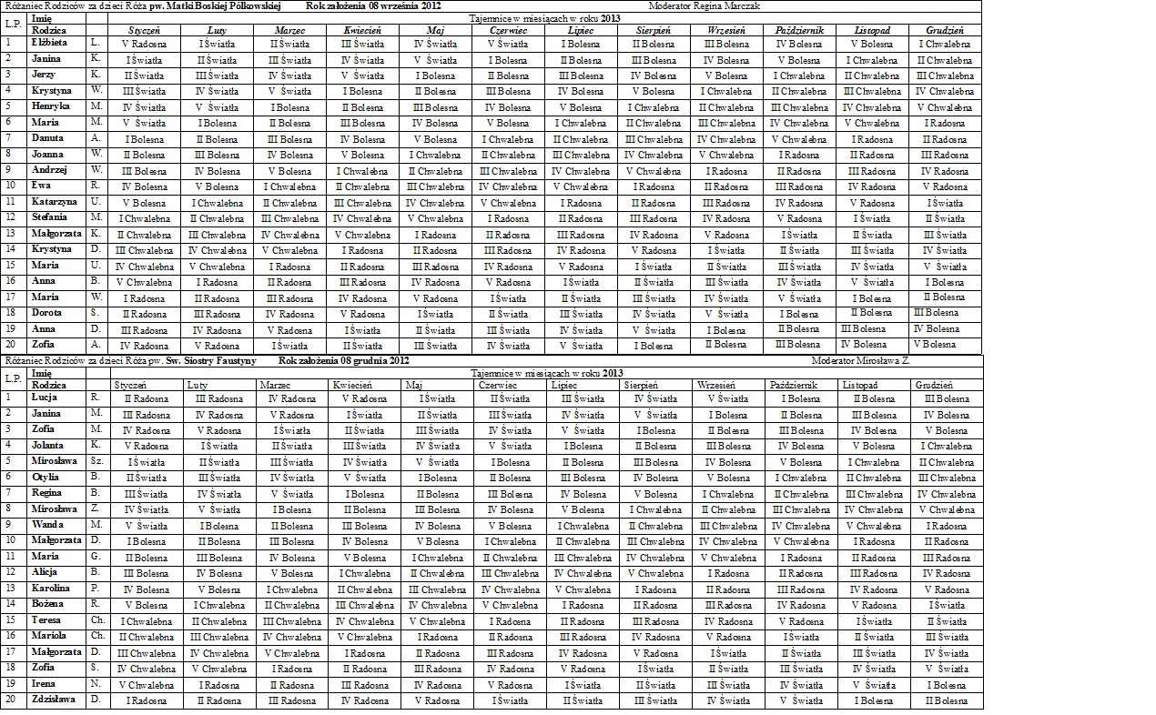
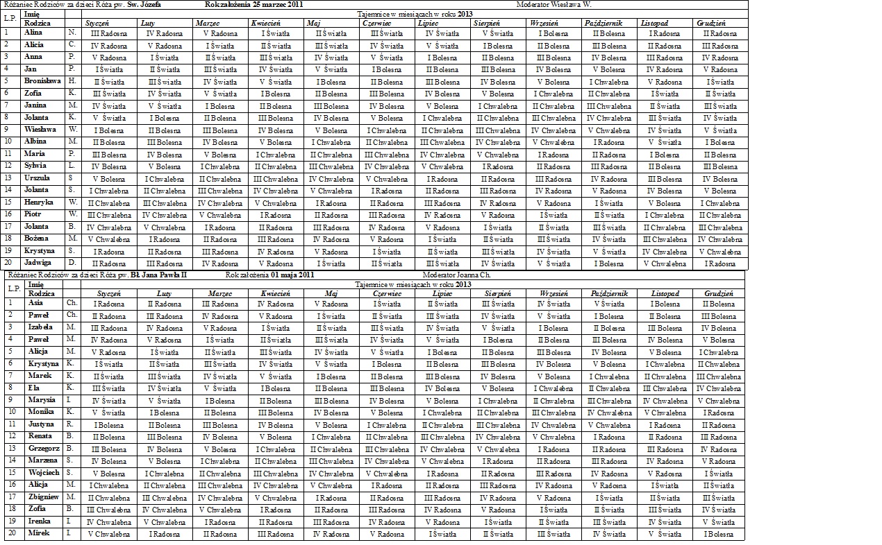
Róże Różańcowe Rodziców
Inicjatywa powołania w parafii Róż Różańcowych Rodziców powstała z inspiracji pani Reginy Marczak, przewodniczącej Rady Duszpasterskiej. Rodzice zrzeszeni w 20 – osobowe grupy czyli tylu członków ile tajemnic różańca świętego, podejmują modlitwę codzienną w intencji własnych dzieci i dzieci rodziców z danej róży różańcowej (rozważanie i pobożne odmawianie jednej tajemnicy różańca przez cały miesiąc).
Pierwsza Róża Rodziców pw. św. Anny, została powołana i pobłogosławiona w uroczystość Niepokalanego Poczęcia NMP czyli 8 grudnia 2010 roku, zaś jej moderatorem została inspiratorka Regina Marczak.
Druga Róża Rodziców pw. św. Ojca Pio, została przyjęta w święto Ofiarowania Pańskiego czyli 2 lutego 2011 roku, której moderatorem jest Teresa Górecka.
Trzecia Róża Rodziców pw. św. Józefa, otrzymała błogosławieństwo 25 marca 2011 roku czyli w święto Zwiastowania Pańskiego a na jej czele stanęła Wiesława Więcek.
Czwarta Róża Rodziców pw. błogosławionego Jana Pawła II została powołana i pobłogosławiona w dniu beatyfikacji Jana Pawła II czyli 1 maja 2011 roku. Moderatorką tej grupy została Joanna Chwołka.
Piąta Róża Rodziców pw. Matki Bożej Pólkowskiej została powołana w święto Narodzenia NMP 8 września 2012 roku w Sanktuarium. Moderatorką jest Regina Marczak.
Szósta Róża Różańcowa pw. św. siostry Faustyny została powołana w uroczystość Niepokalanego Poczęcia 8 grudnia 2012 roku, a na jej czele stanęła Mirosława Zaucha.
Siódma Róża Rodziców pw. św. Franciszka została powołana w sobotę przed odpustem Matki Bożej Szkaplerznej w Sanktuarium dnia 20 lipca 2013 roku, a moderatorką jest Iwona Poprawa.
Zapraszamy Rodziców do ósmej Róży, której już patronuje św. Rita z Cascia.
Różaniec rodziców za dzieci.
Intencje:
– prosimy o to, aby Bóg, w imię ofiary Chrystusa, usunął skutki grzechów nas jako rodziców i aby nasze grzechy przeszłe, ale również obecne nie wpływały negatywnie na nasze dzieci, aby dzieci nasze nie były narażone na skutki naszych grzechów.
– prosimy o błogosławieństwo dla naszych dzieci, aby w pełni zaczerpnęły ze skarbca Bożej Miłości.
– prosimy o rozszerzanie się tego dzieła modlitwy rodziców w intencjach dzieci, aby jak największa rzesza dzieci otrzymywała od swych rodziców modlitwę i błogosławieństwo.
– o uzdrowienie przyczyn grzechów, których skutki spotykają nasze dzieci, u rodziców i w środowisku.
– w intencji Ojca Świętego i Jego intencjach oraz w intencji Kościoła Świętego.
Co uzyskujemy z powodu uczestnictwa w takiej róży?
1. Dajemy najpiękniejszy prezent naszym dzieciom – i to codziennie – wszystkie łaski związane z odmawianiem różańca w róży – pełniej wypełniamy 4 przykazanie.
2. Mamy pewność, że każdego dnia ktoś modli się za moje dzieci, nawet wtedy, gdy sam zapomnę – jeśli nikt nie zapomni, to codziennie za nasze dzieci odmówiony jest cały różaniec.
3. Rozwijamy naszą osobistą modlitwę, często też rodzice podejmują wspólnie modlitwę za dzieci – jest to okazja do rozpoczęcia wspólnej modlitwy w rodzinie (jak najbardziej zalecane i bardzo owocne)
